7+ Adjusted Body Weight Calculation


Unit 4 Ns270 Nutritional Assessment And Management Amy Habeck Rd Ms Ldn You Ll Need Calculator Presentation Found In Doc Sharing Ppt Download


Purina Pro Plan With Probiotics Bright Mind Chicken Rice Formula Senior Adult 7 Dry Dog Food 30 Lbs Petco


Purina Pro Plan Bright Mind Adult 7plus Chicken Rice Formula Dry Dog Food Washington Pa Morgantown Wv White Hall Wv Pet Works Pet Food Supply


Purina Pro Plan Senior Cat Food With Probiotics For Cats Chicken And Rice Formula 3 2 Lb Bag Walmart Com


7 Ideal Body Fat Chart Templates Free Sample Example Format


Unit 4 Ns270 Nutritional Assessment And Management Amy Habeck Rd Ms Ldn You Ll Need Calculator Presentation Found In Doc Sharing Ppt Download


Amazon Com Purina Pro Plan Weight Management Dog Food Shredded Blend Chicken Rice Formula 34 Lb Bag Health Household


Ideal Body Weight Calculations Download Scientific Diagram


Pro Plan Chicken Rice Senior Dog Food For Brain Health Purina Ca


Body Fat Measurement Chart 7 Free Pdf Documents Download


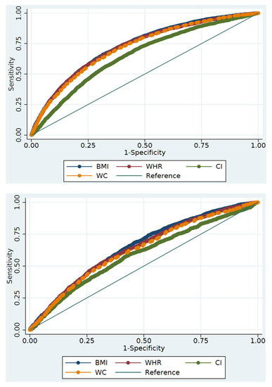
Nutrients Free Full Text Relationship Of Anthropometric Indicators Of General And Abdominal Obesity With Hypertension And Their Predictive Performance Among Albanians A Nationwide Cross Sectional Study


Calculating Ideal And Adjusted Body Weight Youtube


Top Down Characterization Of Denatured Proteins And Native Protein Complexes Using Electron Capture Dissociation Implemented Within A Modified Ion Mobility Mass Spectrometer Analytical Chemistry


Purina Pro Plan Hairball Management Indoor Cat Food Turkey And Rice Formula 7 Lb Bag Walmart Com


Adjusted Body Weight From Std Tables


Unit 4 Ns270 Nutritional Assessment And Management Amy Habeck Rd Ms Ldn You Ll Need Calculator Presentation Found In Doc Sharing Ppt Download


Pro Plan Senior Adult 7 Sensitive Skin Stomach Salmon Rice Formula Purina Canada


American Journal Of Primatology Primates Journal Wiley Online Library

Iklan Atas Artikel

Iklan Tengah Artikel 1

Iklan Tengah Artikel 2

Iklan Bawah Artikel